Pubblicato il 1 Marzo 2022
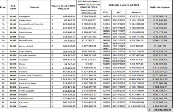
Sono in arrivo nelle casse di 102 Comuni siciliani oltre venti milioni di euro del riparto Fondo Investimenti dei Comuni per l’anno 2020 per recuperare i deficit legati all’emergenza sanitaria Covid-19. Si tratta delle somme a saldo dei fondi a valere sul Piano di Sviluppo e Coesione 2014-2020 destinati ai comuni che ne avevano fatto richiesta. Per effetto del decreto di oggi a firma del dirigente generale del Dipartimento delle Autonomie locali, la Regione Siciliana sta provvedendo alla liquidazione delle risorse relative al Fondo investimenti (per un importo di 20.848.240 mln di euro). Il provvedimento si aggiunge alla precedente liquidazione effettuata lo scorso agosto 2021 per un importo di circa 83 milioni di euro.
“Le risorse liquidate con il precedente decreto e con quello odierno andranno a colmare quel deficit di investimenti a finalità sociale accusato dai Comuni a seguito della gestione dell’emergenza sanitaria Covid-19 – dice l’assessore regionale alle Autonomie locali, Marco Zambuto –. Il governo regionale continua a sostenere i Comuni in maniera particolare a seguito del lungo periodo che ha determinato gravi difficoltà finanziarie a tutti gli enti locali”.
A essere interessati sono i tutto 102 comuni, di cui 26 Comuni ricadenti rispettivamente nel Catanese e nel Messinese, 17 Comuni dell’Agrigentino, 15 del Palermitano, 7 della provincia di Enna, 4 Comuni rispettivamente situati nel territorio di Ragusa e Siracusa e 3 del Trapanese.
Come si evince dalla tabella allegata, destinatari delle risorse sono anche dieci Comuni della provincia di Caltanissetta, compreso il capoluogo. Così a essere interessati sono in tutto 102 Comuni: 26 nel Messinese, 17 nell’Agrigentino, 16 in provincia di Catania, 15 nel Palermitano, 10 nel Nisseno, 7 nella provincia di Enna, 4 rispettivamente nel territorio di Ragusa e Siracusa e 3 nel Trapanese.

